Xpert MTB/RIF Ultra Ct Value: A Quick Indicator of Sputum Bacillary Load and Smear Status Prediction in Individuals with Pulmonary Tuberculosis

Main Article Content

Davis J. Kuchaka
Saumu P. Juma
Erick A. Shekimweri
Buliga M. Swema
Philoteus A. Sakasaka
Blandina T. Mmbaga
Margaretha L. Sariko

Abstract

Background: Tuberculosis (TB) remains a global health threat, necessitating continuous advancements in diagnostic techniques for effective management and control. This study aimed to evaluate the diagnostic utility of smear microscopy and the Xpert MTB/RIF Ultra test in TB diagnosis, focusing on the correlation between Cycle threshold (Ct) values and disease severity.
Methods: A prospective cross-sectional study was conducted in the Kilimanjaro region, enrolling 472 participants suspected of pulmonary TB. Sputum samples were subjected to smear microscopy, and Xpert MTB/RIF Ultra testing. Data were analysed using R software. The ROC curve was created to assess the performance of the Ct values, and Spearman’s correlation and Mann-Whitney test to evaluate the association of Ct value and smear microscopy. Ethical approval was obtained from local and national ethical review boards.
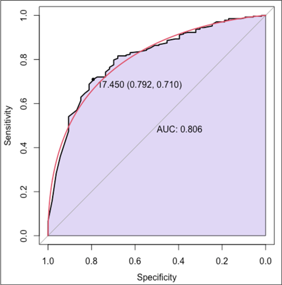
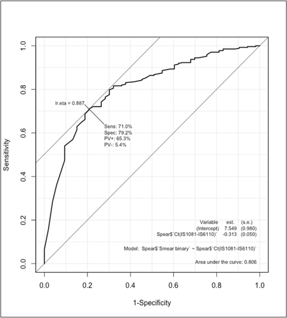
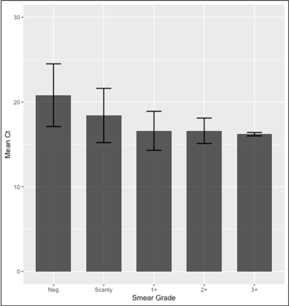
Results: The study revealed discrepancies between smear microscopy and Xpert MTB/RIF Ultra, testing in identifying patients with high bacterial loads. The Ct value in predicting the smear grading yielded a sensitivity of 71% (95% CI 55.2 – 82.7) and specificity of 79.2% (95% CI 64.1 – 89.2), with an area under the curve (AUC) of 0.806. Analysis of Ct values revealed a negative correlation with smear grading, suggesting the potential utility of Ct values as predictive biomarkers for disease severity.
Conclusion: This study underscores the importance of advanced diagnostic techniques, such as the Xpert MTB/RIF Ultra test, in enhancing TB diagnosis and management. The correlation between Ct values and disease severity highlights the potential of Ct values as predictive indicators, offering promising prospects for personalized treatment strategies. Addressing discrepancies between diagnostic methods and further research into Ct value correlations are essential for refining TB diagnostic protocols and improving patient outcomes globally.

Article Details

Section
Original Articles